Сценарий внеклассного мероприятия на неделе математики. Устный журнал «Математика — это сила»
Открывается занавес. На заднем плане кубы, на двух крайних кубах, поставленных вертикально, написано слово «Математика».
1-й чтец: Математика — это ум!
2-й чтец: Математика — это шутки!
3-й чтец: Математика — это уверенность!
4-й чтец: Одним словом, математика — это ушу.
5-й чтец: Но ушу — это борьба, а значит, сила.
6-й чтец: По свойству транзитивности, математика — это …
Все: Сила!
Участники выстраиваются в одну линию.
1-й чтец:
Идет о математике молва,
Что она в порядок ум приводит.
2-й чтец:
Потому хорошие слова
Часто говорят о ней в народе.
3-й чтец:
Ты нам, математика, даешь
Для победы трудностей закалку.
4-й чтец:
Учится с тобою молодежь
Развивать и волю, и смекалку.
5-й чтец:
И за то, что в творческом труде
Выручаешь в трудные моменты,
6-й чтец:
Мы сегодня искренне тебе
Посылаем шквал аплодисментов!
Звучит бодрая музыка, участники уходят со сцены.
В это время несколько человек подходят к кубам, два куба переворачивают, чтобы исчезло слово «математика», а один ставят наверх с левой стороны. Это — «Олимп». Участники возвращаются на сцену в греческих плащах.
Выходит Зевс, за ним идут остальные боги, которые встают по обе стороны «Олимпа».
Ведущий: Продолжаем наше заседание. Переходим к следующему вопросу.
Зевс: Качество знаний. Слышали такое слово?
Боги: Качество знаний… Что это такое?
Зевс: Болезнь века. Боль от недостатка ума и слабого физического развития. (Величественно хлопает в ладоши). Ввести!
Один из богов вводит Пифагора. Боги глядят на него с восхищением.
Боги:
— О! Красавец! Вот это наша работа!
— Первый олимпийский чемпион по кулачному бою.
— Первым полноценно доказал теорему, носящую теперь его имя.
— А помните, как он отблагодарил нас, доказав эту теорему?
— Конечно, ведь целых сто быков он принес нам в жертву.
Один из богов выходит вперед и читает сонет Альберта фон Шамиссо (перевод А. Н. Хованского):
Уделом истины не может быть забвенье,
Как только мир увидит ее взор;
И теорема та, что дал нам Пифагор,
Верна теперь, как в день ее рожденья.
За светлый луч с небес вознес благодаренье
Мудрец богам не так, как было до тех пор;
Ведь целых сто быков послал он под топор,
Чтоб их сожгли, как жертвоприношенье.
Быки с тех пор, как только весть услышат,
Что новой истины уже следы видны,
Отчаянно мычат и ужасом полны:
Им Пифагор навек внушил тревогу.
Не в силах преградить той истине дорогу,
Они, закрыв глаза, дрожат и еле дышат.
Зевс: А что мы имеем в настоящее время? (Хлопает в ладоши.) Внести!
Боги вносят хилого болезненного мальчика. Все в ужасе. Один из богов подходит и, указуя перстом, вопрошает:
— Ты кто? Ты откуда такой взялся?
Ученик: Я — Адик, Адик — математик. Из школы № 2. Боги (наступая на него): Откуда? Откуда?
Ученик: Из школы №2.
Читает стихотворение:
Хоть ты смейся, хоть ты плачь,
Не люблю решать задач,
Потому что нет удачи
На проклятые задачи.
Может быть, учебник скверный,
Может быть, таланта нет,
Но нашел я способ верный —
Сразу посмотреть ответ.
Сколько чашек? Сколько ложек?
Можно проще, без затей.
Я сложил часы и кошек,
Перемножил на людей.
Занимайтесь на здоровье,
Если вам не жалко сил!
Ну зачем читать условье:
Раз — умножил, два — сложил.
В общем, нехитра наука,
Если посмотреть в ответ,
Только дед моложе внука
Оказался на пять лет.
Типографская машина
Выдала семь тонн овса…
Оказалось у вагона
Три десятых колеса…
Стал до Марса путь недлинным —
Двести метров от Земли,
Два мальчишки с половиной
С полдевчонкой в школу шли.
(Голос за сценой):
Адик — математик бойкий:
Множит, делит пополам.
Интересно, сколько двоек
Стоит лени килограмм?
Зевс (гневно): Кто в этой школе возглавлял проверку?
Аполлон: Я, Владыка.
Зевс: Ну, как там обстоят дела?
Аполлон: На основании приказа №13 свыше был проведен рейд в школе №2. В результате этой проверки обнаружены следующие недостатки. Что же мы видим, товарищи боги?
Гефест: Только два пятых, три восьмых и четыре девятых класса пропустили 485 уроков математики.
Меркурий: На контрольных работах и зачетах отсутствует от 18 до 35 процентов учащихся.
Аид: А в двух десятых и трех одиннадцатых классах за первое полугодие в журнале стоит 44 двойки.
Зевс: Почему такая астрономическая цифра?
Гермес: А у них есть справки.
Зевс: Что это?
Аид: Это, великий Зевс, могучий манускрипт. Стоит показать его учителю, как он сразу же отпускает ученика с урока.
Боги (хором): Отпускает…
Зевс: И что… сии документы у всех есть?
Посейдон: У них еще есть два магических слова: «Не понял».
Пифагор (обращаясь к ученику): А ты на уроки математики ходишь?
Ученик: Редко. У меня от нее голова болит.
Пифагор: Чем же ты занимаешься?
Боги угрожающе делают шаг вперед.
Ученик: Учусь. Завтра вот у меня сочинение. По литературе пять стихов задолжал, да еще реферат по географии. Сами бы попробовали… Времени-то не хватает.
Зевс выходит на сцену, боги окружают его.
Зевс: Выходит, к Эребу под хвост нашу работу?
Аполлон: На колесо и выстегать его!
Гефест: В Тартар его! В мешок — и к Посейдону!
Гермес: Со скалы его сбросить!
Все: Правильно!
Боги хватают Адика и начинают раскачивать.
Ученик: Я больше не буду! Не надо!
Боги (раскачивая ученика): Раз… два…
Аид: Стойте! Это не метод воспитания.
Зевс: А что тогда метод воспитания?
Посейдон: Давайте научим его хоть таблице умножения.
Гермес: Что же, тряхнем стариной.
Звучит фонограмма песни «Дважды два — четыре». При этом боги считают на пальцах, демонстрируя ученику, ученик «думает», выкрикивает ответ, т. е. песня обыгрывается. Боги подходят к ученику.
Аид: Извлек урок?
Ученик: Да что вы меня все учите? Вы бы посмотрели, что у нас в школе творится.
Зевс: Что ж, стоит посмотреть.
Звучит «космическая» музыка. Два участника снова перестраивают кубы, чтобы появилась надпись «Школа №2».
На сцене появляются два мальчика — Вован и Санек.
У Вована прекрасное настроение, он напевает: «Тра- ля-ля…» Они приветствуют друг друга.
Санек: Ты, Вован, че такой веселый?
Вован: А как же мне не веселиться, я сегодня по алгебре «тройку» получил. (Поет):
Вот мчится тройка удалая
Вдоль по дорожке столбовой…
Санек: Чему же тут радоваться? Если бы ты «пятерку» или «четверку» получил, а то «тройку». «Тройка» все равно, что «двойка».
Вован: Да как ты смеешь! Ты знаешь, что значит у нашего математика получить тройку?
Санек: А хочешь, я тебе докажу, что 3 = 2?
Вован: Ты? Докажешь? А ну-ка попробуй, докажи! (Обращаясь в зал): Посмотрим, как он это сделает!
Санек: Очень просто. Ты же не станешь отрицать, что
4 — 10 = 9 — 15?
Вован: Ну, нет, конечно.
Санек: Хорошо, тогда ты согласишься, что прибавив к обеим частям этого равенства по 6¼ , мы получим верное равенство:

Вован: Ну, разумеется. Ну и что ж из того?
Санек: А то, что я могу записать:

Надеюсь, ты не будешь спорить, что это равенство справедливо?
Вован: Да, я не замечаю ошибки в твоих рассуждениях.
Санек: Очень хорошо! Как видишь, у нас записано равенство двух квадратов, отсюда мы можем получить равенство оснований, не правда ли?
Вован: Ну, конечно же! Но я не вижу, к чему ты это клонишь?
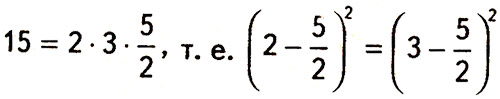
Санек: А к тому, что теперь ты уже не сможешь сомневаться, что тройка это все равно, что двойка! Смотри, раз 2 – 5/2 = 3 – 5/2, то равенство останется справедливым, когда мы к обеим его частям прибавим 5/2, но тогда мы получим, что 2 = 3! (С торжествующим видом): Что и требовалось доказать!
Вован: Постой-постой, что-то тут не так! Может, кто-то из присутствующих найдет ошибку? (Ответы из зала).
Появляются боги.
Зевс: Так что же, в школе нет учеников, которые серьезно относятся к математике?
Выходят два ученика с небольшой переносной двусторонней доской.
Ученики: Нет, почему же, есть!
Ученики читают стихи, демонстрируя одновременно их содержание на доске.
Теорема Пифагора
Если дан нам треугольник
И при том с прямым углом,
То квадрат гипотенузы
Мы всегда легко найдем:
Катеты в квадрат возводим,
Сумму степеней находим —
И таким простым путем
К результату мы придем.
Автор: И. Дырченко
Теорема Виета
По праву достойна в стихах быть воспета
О свойствах корней теорема Виета.
Что лучше, скажи, постоянства такого:
Умножишь ты корни — и дробь уж готова:
В числителе «с», в знаменателе «а»,
А сумма корней тоже дроби равна.
Хоть с минусом дробь эта, что за беда —
В числителе «в», в знаменателе «а».
Автор: Я. Герцейштейн
Далее на экране демонстрируются лучшие математики школы, при этом два ученика поочередно комментируют:
— Победитель районной олимпиады по математике, ученик 9-го класса…
— Победитель районной олимпиады, призер областной олимпиады, ученица 10-го класса…
— Призер 1 и 2-го туров олимпиады по математике, отмечен грамотой Министерства образования области за выступление на научно-практической конференции по теме «Математики XXI века», ученик 11-го класса…
— Более ста учащихся школы дополнительно изучают математику, посещая кружки и факультативы…
Зевс (обращаясь к богам): А давайте устроим им экзамен!
Гермес (к зрителям):
Если Грушам дать по груше,
То одна в избытке груша.
Если дать по паре груш,
То не хватит пары груш.
Сколько Груш? И сколько груш?
(Груш — 3, а груш — 4.)
Пифагор: Вы знаете, что я открыл школу. Половина моих учеников изучает математику, четвертая часть изучает природу, седьмая часть проводит время в молчаливом размышлении, остальную часть составляют три девы. Сколько у меня учеников? (28.)
Гефест:
Гуси с юга к нам летели,
На лугу зеленом сели.
Их увидел Елисей:
— Добрый день вам, сто гусей!
— Нас не сто, — сказал вожак,
Уважаемый гусак.
— Сколько ж вас? — он вопрошает.
— Кто сметливый, — отгадает.
Если к нам добавить столько ж
И полстолько, четверть столько,
Да гуся, что сел на стог,
Вот тогда нас будет сто.
Вот скажите-ка, друзья,
Какова гусей семья?
(36 гусей.)
Зевс:
Ну что ж, вполне приличные результаты
Показывают эти ребята.
И чтоб отмести все сомнения,
Выскажем им наше мнение.
Исполняется песня о математике:
Чтоб водить корабли,
Чтобы в небо взлетать,
Надо много уметь,
Надо многое знать.
И при этом, и при этом
Вы смекайте-ка,
Очень важная наука
Математика.
Почему корабли
Не садятся на мель,
А по курсу идут
Сквозь пургу и метель?
Потому что, потому что,
Вы смекайте-ка,
Капитанам помогает
Математика.
Чтоб врачом, моряком
Или летчиком стать,
Надо прежде всего
Математику знать.
И на свете нет профессий,
Вы смекайте-ка,
Где бы вам не пригодилась
Математика!




Внеклассное мероприятие на неделе математики