Конспект урока математики в начальной школе. Тема: Умножение семи и на 7, соответствующие случаи деления
Цели: составить таблицы умножения семи и на 7, рассмотреть соответствующие случаи деления; закреплять умение решать задачи, уравнения, вычислять; развивать смекалку, умение рассуждать.
Оборудование: листок с данными рядами чисел 2-9; таблица умножения; опорный конспект; рисунки с изображением сказочных героев; схемы-опоры; карточки с представленными тестовыми заданиями.
Ход урока
I. Организационный момент.
Учитель.
Все ли правильно сидят?
Все ль внимательно глядят?
Начинаем мы опять
Решать, отгадывать, смекать.
Вот и гости в класс пришли,
Нам заданья принесли.
Нам пора урок начать,
Про гостей всем рассказать.
Дети рассматривают рисунки, на которых изображены Золушка, Буратино и Незнайка. Рассказывают об их сходстве и различии.
II. Проверка выполнения домашнего задания и повторение базовых знаний.
1. Индивидуальные задания.
— Золушка хочет узнать, как вы справляетесь с заданиями.
Задания:
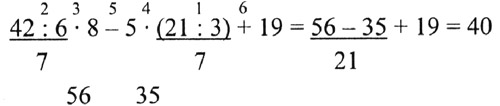
1) Составить программу действий и план решения данного выражения:
а : b · с — (k : m) + y
2) Представить записанные числа произведением двух однозначных множителей:

2. Работа с опорным конспектом (прилагается).
— Повторим изученный материал, используя опорный конспект.
1) Свойства умножения повторяются учащимися хором.
2) По схемам-опорам учащиеся продолжают высказывание учителя гак, чтобы оно было верным.
3. Проверка индивидуальных знаний.
Задание 1. Ученик анализирует задачу и ее решение.
Учащиеся проверяют (повторяют нахождение P1, M1).
Задание 2. Ученик рассказывает правило о порядке выполнения действий в выражении. Комментирует план решения.
Учащиеся проверяют.
— Молодцы! Я довольна вами, с заданием Золушки вы справились.
III. Сообщение темы и целей урока.
— Мы таблицу умножения Продолжаем составлять И случаи деления Будем разбирать.
А что же мы будем умножать?
Надо вам число узнать.
— В этом нам поможет Незнайка.
Учитель из конверта достает карточку с представленным заданием.
□ < 10
□ > 5
— Это число меньше 10, но больше 5, не кратно 2 и 3. Какое это число? (7.)
Учитель открывает название темы урока «Умножение семи и на 7» и записи на доске.
IV. Изучение нового материала.
1. Анализ записей, выдвижение гипотез.

— Рассмотрите записи в 1-м столбике и ответьте на вопросы:
— Что можно сказать о числах, которые будут значением произведений 7 · 7, 7 • 9? (Это будут числа нечетные.)
— Что можно сказать о значении произведений в строчках? (Они будут равны.)
— Почему таблица умножения числа 7 начинается произведением 7 • 7? (Предыдущие известны.)
— Повторим известные равенства.

2. Самостоятельная работа с рядом чисел (7).
— Пользуясь рядом с числом 7, найдите значение произведений 1-го столбца.
Комментирование в нарах.
— Назовите значение произведений.
Записи на доске дополняются.
— Оправдались ли наши предположения? (Да, числа 49, 63 — нечетные, 56 — четное.)
— Сделайте «шаги» в рядах с числами 8, 9.
3. Работа с таблицей умножения (классной, индивидуальной).
1) Работа в строках таблицы по плану:
а) запишите произведения:

б) назовите равенства с этими числами: , >

в) назовите числа данного десятка, которые не являются значением произведения двух однозначных чисел:
5-й десяток: 41, 43, 44, 46, 47, 50;
6-й десяток: все, кроме 54, 56;
7-й десяток: все, кроме 63, 64.
2) Работа в столбцах таблицы.
— Назовите произведения, оканчивающиеся:

Физкультминутка
Учащиеся под руководством учителя выполняют движения по тексту.
Учащиеся стоят напротив друг друга.
Мы бросали мяч друг дружке.
(Имитируют броски мяча друг другу.)
Мячик прыгал, как лягушка.
(Выполняют прыжки с глубоким приседанием на месте.)
Укатился он куда-то.
(Выполняют наклоны туловища вниз.)
Не найдут его ребята.
(Выполняют круговые вращения плечами вперед-назад.)
4. Групповая работа.
— Используя знание таблицы умножения и опорного конспекта, запишем значение выражений в арифметическом диктанте.
1-я группа работает на карточке 1.
2-я группа — 2.
После уроков эксперты проверяют правильность выполнения работы.
V. Закрепление изученного материала.
1. Задание от Буратино.
Из конверта достается карточка.

— Рассмотрите запись и скажите, что в графическом изображении обозначает [] (Произведение.)
— Кто догадается, какое задание предлагает нам Буратино? (Надо составить уравнение с этими числами.)
— Что называется уравнением?
— Какие нужно написать равенства?
а) х • 7 = 56; б)56 : х = 7.
Уравнение а) решается с комментированием у доски; б) — самостоятельно после добавления в равенство графических обозначений: 56 : х = 7.
2. Задание на развитие логики и внимания (плакат с изображением разных лиц — «нарисуй недостающее»).
Очень похожи эти братишки:
Строгий, грустный и шалунишка.
Внимательно на них посмотрите
И брата отсутствующего найдите.
Учащиеся рисуют недостающее лицо на карточках.
VI. Итог урока. Рефлексия.
— Какие задания понравились?
— Какие вызвали затруднения?
— Оцените свою работу на уроке, подняв руки на разный уровень.
— Я вами довольна. Оценки поставлю после проверки самостоятельных работ.
Домашнее задание.
1. Составить задачу по краткой записи про арбуз и дыню.

— Что обозначает выражение «? (8 : 2) кг»? (Масса дыни меньше.)
— Каким действием узнаем искомое число?
— I группа: запишите выражение к задаче, найдите его значение, запишите ответ.
— II группа: какой вопрос нужно поставить к условию, чтобы искомое число нужно было найти вычитанием? (На сколько масса арбуза больше массы дыни? Или: на сколько масса дыни меньше массы арбуза?)
— Запишите решение и будьте внимательны при записи ответа.
2. Записать равенство, составить программу действий и найти ответ.

3. Заучить новые случаи умножения и деления.
Приложение
Умножение
1. Умножение — это сложение одинаковых слагаемых.
b + b + b + … + b = b · a
а раз
I множитель показывает, какое слагаемое взяли.
II множитель показывает число слагаемых.
2. Переместительное свойство умножения.
а • b = b • а
От перестановки множителей произведение не меняется.
3. Умножение на 0.
а • 0 = 0 • а = 0
Если один из множителей нуль, то произведение равно нулю.
4. Умножение на 1.
а • 1 = 1 • а = а
Если один из множителей единица, то произведение равно второму множителю.
5. При увеличении множителя произведение увеличивается.
а • 7 > а • 5
Схемы-опоры
I

II

III


Таблица умножения





Урок математики «Таблица умножения на 7», 3 класс