Математический бой для учащихся 6 класса. Задачи с ответами. Правила проведения
Технология проведения математического боя
Математический бой — это соревнование двух команд в решении нестандартных задач, подобранных жюри, в умении преподнести свои решения у доски, в умении проверять (оппонировать) чужие решения. Команды получают одинаковые задания и решают их в разных помещениях в течение заданного времени. Затем проходит собственно математический бой по всем правилам, которых довольно много. Перед этим проводится конкурс капитанов, который позволяет капитану, выигравшему конкурс, совместно с командой решить, вызвать ли другую команду на бой с решением задачи под определенным номером или быть вызванными командой соперника. Эта игра проводится без участия учителя, он не участвует ни в процессе решения задач, ни в помощи команде в ходе игры. В игре принимают участие 2 команды, которые «бьются» между собой, решая по очереди 6 непростых задач.
Команда состоит из 6 человек, ребята должны сами выбрать капитана, который распределяет 6 задач между участниками, сообща решают эти задачи. Капитан должен проследить, чтобы все задачи были решены. Затем решенные задачи распределяются между участниками, которые будут представлять решение задачи, если команде достанется данная задача, или оппонировать докладчику другой команды, стараясь своими вопросами поставить его в тупик. В ходе игры можно брать 6 тайм-аутов по 30 секунд, чтобы команда могла помочь докладчику или оппоненту. Решение о тайм-ауте принимает капитан или его заместитель. Команда действует как одно целое. Каждый участник ценен своим вкладом в общее дело. Какая же ответственность ложится на капитана и всех участников игры!
Надо отметить очень ценный воспитательный момент: во время боя участники обращаются друг к другу корректно, называя оппонента на «Вы». Команды должны вести себя спокойно, не допускать подсказок, выкриков, шума. За несоблюдение этих правил команда наказывается штрафными очками. Если в школе задачи решаются для учителя, а на олимпиадах — для себя, то во время математического боя — полная самоорганизация учащихся, вся ответственность ложится на самих ребят, и результат — осязаемый, зависящий от множества удач и просчётов участников боя, переживаемый у всех на глазах. Редко можно увидеть такой энтузиазм в решении трудных задач и такую мобилизацию всех сил и способностей учащихся, как во время проведения
математического боя. После удачно проведённого математического боя у учеников пробуждается «вкус» к хорошей работе: хочется выступить ещё раз, но как следует учесть все свои промахи. Поэтому проиграть другой команде бывает подчас полезнее, чем победить. Математический бой напоминает турнир рыцарей, где вопросы честного ведения боя (по всем правилам, которых немало) стоят на первом месте. Как и всякий рыцарь, капитан побеждённой команды должен иметь мужество поздравить капитана-победителя, ибо главное не победа, а искусство коллективного разума и творческая работа каждого члена команды.
Правила математического боя.
Общие положения.
Математический бой — это соревнование двух команд в правильности и скорости решения математических задач. Сначала команды одновременно получают условия задач и определённое время на их решение (например, 1 час или 1 урок). При решении задач команда может использовать справочную литературу, но не имеет права общаться ни с кем, кроме представителя жюри конкурса. Представитель жюри обязан давать командам все необходимые пояснения к текстам задач. Он также следит за тем, чтобы те существенные пояснения в тексте задачи, которые могут повлиять на её решение, доводились до сведения всех команд, решающих данную задачу.
Команда выбирает капитана команды и его заместителя. Во время решения задач главная обязанность капитана — координировать действия членов команды так, чтобы имеющимися силами решить как можно больше задач. Для этого капитан с учётом пожеланий членов команды распределяет между ними задачи для решения, следит, чтобы каждая задача была решена, организует проверку найденных решений. Капитан заранее определяет тактику команды в предстоящем бою.
По истечении заданного времени команды, их болельщики, зрители и члены жюри собираются в одном помещении. Членам жюри передаются списки команд с указанием их названия, школы, имен капитана и заместителя капитана команды.
Бой начинается с конкурса капитанов команд. В конкурсе капитанов может участвовать любой представитель команды. Жюри предлагает капитанам команд задачу. Если какой-либо капитан дает правильный ответ, то он побеждает, а если неправильный, то побеждает его соперник. На решение задачи в конкурсе капитанов отводится 2 минуты. Если за это время ни один из капитанов не ответил верно, жюри заменяет задачу.
Команда, капитан которой победил в конкурсе капитанов, получает право первого хода. Она может вызвать другую команду на поединок с какой-либо задачей или выразить желание быть вызванной другой командой.
Затем команды в соответствии с правилами боя представляют друг другу решения задач. Команда, получившая вызов, представляет докладчика задачи, который должен предложить у доски полное ее решение. Другая команда выставляет оппонента, который ищет в решении докладчика ошибки, пробелы, недочеты и т. п. При этом выступления докладчика и оппонента оцениваются жюри (в баллах). Если команды, обсудив решение, задачу не решили до конца или обнаружили не все допущенные в решении ошибки, то часть баллов жюри оставляет как штрафные.
Побеждает команда, которая по окончании боя набирает большое количество баллов. Если команды набирают одинаковое число баллов, то победителем объявляется команда, чей капитан выиграл в конкурсе капитанов.
Порядок вызовов на бой
Бой состоит из раундов. В начале каждого раунда капитан одной из команд вызывает другую на решение одной из задач, которая ещё не решалась соперниками (например: «Мы вызываем команду соперника на задачу № 4»), После этого капитан вызванной команды сообщает, принимает ли она вызов, то есть согласна ли она предложить решение задачи, на которую была вызвана. Если согласна, то команда выставляет докладчика, а вызвавшая команда — оппонента. Если команда не согласна, то происходит проверка корректности вызова — вызывающая команда должна доказать, что она решила эту задачу. Ею выставляется докладчик, а отказавшаяся отвечать команда выставляет оппонента. После раунда жюри определяет, был вызов корректным или нет.
Если вызов команды оказывается некорректным, то данная команда должна снова вызывать соперника в следующем раунде. Во всех остальных случаях в следующем раунде вызывает соперников на бой та команда, которая была вызвана до этого.
В любой момент боя вызывающая команда может отказаться от вызова. Это означает, что у команды больше нет решённых задач, а делать вызов, который может оказаться некорректным, она не хочет. Тогда другая команда получает право предлагать решения оставшихся задач, а команда, отказавшаяся делать вызов, выставляет оппонентов и получает баллы за оппонирование.
Если имела место «проверка на корректность» и жюри считает, что оппонент не сумел доказать отсутствие решения задачи, то вызов признаётся корректным независимо от того, было ли приведено решение задачи.
Бой заканчивается, когда не остаётся необсуждённых задач либо когда одна из команд отказывается от вызова, а другая команда не желает больше представлять решения оставшихся задач.
Ход раунда
В начале раунда докладчик представляет решение задачи. Доклад должен содержать ответы на все поставленные в задаче вопросы и доказательство правильности и полноты полученных ответов. В частности, докладчик обязан доказать каждое сформулированное им промежуточное утверждение либо сослаться на него как общеизвестное, то есть входящее в обычный школьный курс. Докладчик должен стремиться к ясности и краткости своего изложения. Время на доклад ограничивается 15 минутами.
Если докладчик не успевает представить решение задачи за это время, жюри имеет право остановить его доклад в любой момент и перейти к его обсуждению.
Капитан команды может во время раунда принять решение о замене докладчика (оппонента) или о полуминутном перерыве для консультации докладчика (оппонента) с командой. При этом соперники тоже могут полностью воспользоваться этим перерывом. Во время боя обращаться к жюри или к соперникам имеет право только капитан. Если капитан является докладчиком, он оставляет за себя заместителя, исполняющего в это время обязанности капитана. Каждая команда имеет право взять в течение одного боя не более 6 полуминутных перерывов. Всякое другое общение команд с выступающими во время раунда запрещено и наказывается штрафом в 2 балла. Аналогичным штрафом наказывается общение команды во время раунда со зрителями и болельщиками. За некорректное поведение или шум команда может быть оштрафована на 1 балл.
Каждый член команды имеет право выйти к доске в качестве докладчика или оппонента не более двух раз за бой. Команда имеет право не более трёх раз за бой заменять докладчика или оппонента, причём каждый раз выход засчитывается как тому участнику, кого заменили, так и тому, кто вышел на замену. Кроме того, при замене игроков время, отведённое на перерывы, уменьшается на 1 минуту. Эту минуту можно использовать непосредственно перед заменой, а можно и не использовать — в последнем случае команда соперников тоже не имеет права пользоваться ею.
Докладчик не имеет права брать с собой текст записанного решения или какой-то его части. Однако он может иметь чертежи к задаче и с отдельного разрешения жюри — вычисления.
Докладчик имеет право:
• До начала выступления вынести на доску всю необходимую ему информацию (чертежи, вычисления и т. п.), при этом время докладчика отсчитывается с момента выхода к доске, а не с начала выступления.
• Не отвечать на вопросы оппонента до окончания доклада.
• Просить у оппонента разрешения не доказывать очевидное, с точки зрения докладчика, утверждение.
• Просить оппонента уточнить и пояснить свой вопрос.
• Отказаться отвечать на вопрос, сказав, что:
а) он не имеет ответа на вопрос;
б) он уже ответил на этот вопрос, объяснив, когда и каким образом он это сделал;
в) вопрос некорректен или не имеет отношения к обсуждаемой задаче.
• В случае несогласия оппонента с основаниями пунктов б) и в) решение об ответе на заданный вопрос принимает жюри боя.
Докладчик не обязан:
• Излагать способ получения ответа, если он может доказать правильность и полноту своего ответа.
• Сравнивать свой метод решения с другими возможными методами решения этой задачи с точки зрения краткости, красоты, пригодности для решения других задач и т. д.
После окончания доклада оппонент имеет право задавать вопросы докладчику. Если в течение минуты оппонент не задал ни одного вопроса, то считается, что у него нет вопросов. Если докладчик в течение минуты не начинает отвечать на вопрос, то считается, что у него нет ответа.
В качестве вопроса оппонент может:
• Попросить докладчика повторить любую часть доклада, а с разрешения жюри и весь доклад, но не более одного раза.
• Попросить уточнения любого из высказываний докладчика, в том числе дать определение любого использованного докладчиком термина, не входящего в стандартный школьный курс.
• Попросить докладчика доказать сформулированное им неочевидное и малоизвестное утверждение.
После ответа на вопрос оппонент может выразить удовлетворённость или мотивированную неудовлетворённость ответом.
Докладчик и оппонент обязаны:
• Формулировать свои вопросы в вежливой и корректной форме, обращаться только на «Вы».
• Критикуя какие-то рассуждения, не допускать критики личности автора.
• Повторять и уточнять свои утверждения и вопросы по просьбе жюри.
В конце обсуждения оппонент обязан дать оценку докладу и обсуждению доклада в одной из следующих форм:
а) признать решение полностью правильным и согласиться с ним;
б) признать решение в основном правильным, но имеющим недостатки и/или пробелы с обязательным их указанием;
в) признать решение неправильным с указанием ошибок в обоснованиях ключевых утверждений доклада или контрпримеров к ним, либо указанием существенных пробелов в обоснованиях или плане решения.
Если оппонент согласился с решением и команда, пока он находится у доски, не взяла 30-секундный перерыв, он и его команда в этом раунде больше не участвуют.
После окончания диалога докладчика и оппонента жюри задаёт свои вопросы. При необходимости оно может вмешиваться в обсуждение и раньше, если обсуждение заходит в тупик.
Если оппонент доказал, что у докладчика нет правильного решения задачи, причём жюри с этим согласно и вызов на эту задачу был принят, то оппонент получает право представить своё решение. При этом происходит смена ролей: бывший докладчик становится оппонентом и может зарабатывать баллы за оппонирование.
Начисление баллов
Каждая задача оценивается в 12 баллов, которые по итогам раунда распределяются между докладчиком, оппонентом и жюри.
1. Если докладчик представил правильное и полное решение, то 12 баллов получает он.
2. Если в решении докладчика были ошибки, а оппонент признал решение правильным и согласился с ним, он получает 0 баллов. В этом случае баллы за оппонирование получает жюри в зависимости от серьёзности допущенных докладчиком ошибок. Если при этом решение докладчика опровергнуто жюри, докладчик может получить какие-то баллы (но не более 5) за продвижение в решении.
3. Если оппонент сумел найти в решении более или менее существенные ошибки, жюри прежде всего решает вопрос о том, удалось ли оппоненту доказать, что докладчик не представил решения задачи. Если это оппоненту не удалось, то он может получить за оппонирование до 5 баллов в зависимости от серьёзности указанных недостатков и от того, насколько докладчику удалось их исправить. В зависимости от серьёзности замечаний жюри остальные баллы распределяются между докладчиком и жюри аналогично пункту 2. На этом раунд заканчивается.
4. Если же оппонент сумел доказать, что решения у докладчика нет, а жюри с ним согласно, он получает 6 баллов за оппонирование, и, если вызов был принят, имеет право представить своё решение. Если оппонент отказывается это делать, докладчик может получить баллы за продвижение в решении задачи.
5. Если произошла смена ролей и оппонент становится докладчиком, то по той же схеме разыгрываются оставшиеся баллы. Бывший докладчик, став оппонентом, может получить баллы за оппонирование.
6. Если, получив отказ от вызова, капитан вызывающей команды сразу признаётся, что у его команды нет решения данной задачи, команда соперников получает 6 баллов за оппонирование, а вызов признаётся некорректным. Докладчик и оппонент в этом случае не назначаются и выходы к доске не засчитываются.
Жюри математического боя
Жюри толкует правила боя, а в случаях, не предусмотренных правилами, оно принимает решение по своему усмотрению.
Жюри обязано мотивировать свои решения, не вытекающие непосредственно из правил боя. Решение жюри является обязательным для команд. В исключительных случаях, в случае несогласия команды с решением жюри, капитан команды имеет право пригласить для разбора ситуации председателя жюри или его заместителя.
Жюри может снять вопрос оппонента, если он задан не по существу или на него уже дан ответ, прекратить доклад или оппонирование, если они затягиваются. Если жюри не может быстро разобраться в решении, оно может с согласия обоих капитанов выделить своего представителя, который продолжит обсуждение задачи совместно с докладчиком и оппонентом в другом помещении. При этом бой продолжается по другим задачам, а очки по этой задаче начисляются позже.
Жюри ведёт протокол боя, а также его копию на доске (правила действуют только на время проведения турнира).
Протокол математического боя

Математический бой №1
Задача 1.
Путешественник, сняв в гостинице комнату на неделю, предложил хозяину в уплату цепочку из семи серебряных колец — по кольцу за день, с тем, однако, условием, что будет рассчитываться ежедневно. Хозяин согласился, оговорив со своей стороны, что можно распилить только одно кольцо. Как путешественнику удалось расплатиться с хозяином гостиницы?
Ответ:
Распилив третье кольцо, путешественник получит 1, 2 и 4 кольца. Каждый день он будет либо отдавать 1 кольцо, либо отдавать 2 — забирать 1 кольцо; либо отдавать 4, забирать 2 и 1 кольцо.
В 1-й день отдаст 1 кольцо; во II-й день — даст 2, а 1 кольцо заберёт; в III-й день — даст 1; в IV-й день — даст 4, заберёт 2 и 1; в V-й день — даст 1 кольцо; в VI-й день — даст 2, заберёт 1 кольцо. В VII-й день — даст 1 кольцо.
Задача 2.
Крестьянка принесла на базар корзину яблок. Первому покупателю она продала половину всех яблок и ещё одно яблоко, второму — половину остатка и ещё одно яблоко, третьему — половину нового остатка и ещё 1 яблоко и т. д. Последнему — шестому — покупателю она также продала половину оставшихся яблок и ещё 1 яблоко, причём оказалось, что она продала все свои яблоки. Сколько яблок принесла крестьянка на базар?
Ответ: В корзине у крестьянки было 126 яблок.
Задача 3.
Если учащихся посадить по 2 человека на скамейку, то семи учащимся не хватит места. Если на каждую скамейку посадить по 3 человека, то останется 5 свободных мест. Сколько было учащихся и сколько было скамеек?
Ответ: Было 22 скамейки и 51 ученик.
Задача 4.
Путь от дома до школы Буратино проделал пешком. Обратно он двигался той же дорогой, но первую половину пути он ехал на собаке, а вторую половину пути — на черепахе. Известно, что скорость собаки в 4 раза больше, а скорость черепахи- в 2 раза меньше, чем скорость, с которой Буратино шёл в школу пешком. На какой путь — из дома до школы или из школы до дома — затратил Буратино больше времени?
Ответ:
Вторую половину пути из школы до дома Буратино ехал столько же времени, сколько он бы затратил пешком на весь путь. Значит, на всю дорогу из школы до дома он затратил больше времени, чем на дорогу от дома до школы, независимо от того, с какой скоростью он двигался на первой половине обратной дороги.
Задача 5.
У меня нет карманных часов, а только стенные, которые остановились. Я пошёл к своему приятелю, часы которого идут верно. Пробыв у него некоторое время, я пришёл домой и поставил верно свои стенные часы. Как мне удалось это сделать, если я предварительно не знал, сколько времени занимает дорога?
Ответ:
Уходя, я завожу свои стенные часы и замечаю их показание. Придя к приятелю, я замечаю по его часам время прихода и ухода от него, а придя домой, по своим стенным часам определяю, сколько времени я отсутствовал. Вычтя отсюда время, проведённое у приятеля, и поделив разность пополам, я узнаю, сколько времени занимает дорога к приятелю в один конец. Теперь остаётся только к показанию часов приятеля добавить время, затраченное на дорогу, и я смогу верно поставить часы.
Задача 6.
Проехав половину всего пути, пассажир заснул. Когда он проснулся, то оказалось, что ему осталось ехать половину того пути, который он проехал спящим. Какую часть пути пассажир проехал спящим?
Ответ:
Пассажир проехал спящим 2/3 второй половины пути. Следовательно, он проехал спящим 1/3 пути.
Математический бой №2
Задача 1.
Два человека чистили картофель. Один очищал в минуту 2 картофелины, а второй — 3 штуки. Всего они очистили 400 штук картофелин. Сколько времени работал каждый из них, если второй проработал на 25 минут больше первого?
Ответ:
25 • 3 = 75 (карт.) — очистил второй человек, работая один.
400 — 75 = 325 (карт.) — очистили вместе.
За 1 минуту они очистят: 2 + 3 = 5 (карт.);
325 : 5 = 65 (минут) — работал первый человек; 65 + 25 = 90 (минут) — работал второй человек.
Задача 2.
36 деревьев посажены квадратом 6×6. Какое наибольшее число деревьев можно спилить так, чтобы, стоя на любом пеньке, не видеть любой другой пенёк?
Ответ:
Наибольшее число деревьев — 9. Разбейте все деревья на 9 квадратов, по 4 дерева в каждом. В одном квадрате можно спилить не более одного дерева, в остальных квадратах надо спилить по 1 дереву на том же месте, что и в первом квадрате.
Задача 3.
В одной семье было много детей. Семеро из них любили капусту, пятеро — горох, шестеро — морковь, четверо — капусту и морковь, трое — капусту и горох, двое — морковь и горох, а один — и капусту, и горох, и морковь. Сколько детей было в семье?
Ответ: В семье 10 детей.
Задача 4.
В семье четверо детей. Им 5, 8, 13 и 15 лет, а зовут их Таня, Юра, Света и Лена. Сколько лет каждому из них, если одна девочка ходит в детский сад, Таня старше, чем Юра, а сумма лет Тани и Светы делится на 3?
Ответ: Тане 13 лет, Лене — 15 лет, Юре — 8 лет, Свете — 5 лет.
Задача 5.
В соревнованиях по бегу участвовали 5 спортсменов. Виктору не удалось занять I место. Григория обогнал не только Дмитрий, но и еще один спортсмен, отставший от Дмитрия. Андрей достиг финиша не первым, но и не последним. Борис финишировал сразу вслед за Виктором. Кто какое место занял в соревнованиях?
Ответ: Дмитрий занял 1-е место, Андрей — 2-е место, Григорий — 3-е место, Виктор — 4-е место, Борис — 5-е место.
Задача 6.
Сумма шести различных натуральных чисел равна 22. Найдите эти числа.
Ответ: Числа 1, 2, 3, 4, 5, 7.
Математический бой №3
Задача 1.
У молодого человека спросили, много ли у него братьев и сестер. Он ответил: «У меня сестер и братьев поровну, а у моей сестры братьев вдвое больше, чем сестер. Решайте сами, сколько нас всех у родителей».
Ответ: Всего детей — 7 человек. Из них 4 брата и 3 сестры.
Задача 2.
Яблоко и груша вместе стоят 17 рублей. 5 яблок и 2 груши стоят 55 рублей. Сколько стоят отдельно одно яблоко и одна груша?
Ответ:
Ябл. + гр. = 17 (руб.); 5 ябл. + 2 гр. = 55 (руб.); 3 ябл. = 21 (руб.);
1 ябл. = 7 (руб.); 1 гр. = 17 — 7= 10 (руб.); 5 ябл. + 2 гр. = 55 (руб.);
2 ябл. + 2 гр. = 34 (руб.).
В итоге получаем: яблоко стоит 7 рублей, груша — 10 рублей.
Задача 3.
Дети организовали выставку своих животных. Из числа представленных на выставку животных 9/50 были свинки, 2/5 собаки и 21 кошка. Сколько животных было на выставке?
Ответ: Всего было 50 животных.
Задача 4.
На столе 3 совершенно одинаковых ящика. В одном из них лежат 2 чёрных шарика, в другом — чёрный и белый, в третьем — 2 белых. На ящичках есть надписи: «2 чёрных», «2 белых», «Чёрный и белый». Однако известно, что ни одна из этих надписей не соответствует действительности. Сможете ли вы определить, где какие шарики лежат, вынув всего один шарик из какой-нибудь коробки?
Ответ:
Нужно вынуть один шарик из коробки с надписью «Чёрный и белый». Если вынутый шарик белый, значит, и второй должен быть белым. Тогда в ящичке с надписью «2 чёрных» должны быть чёрный и белый шарики. А в ящичке с надписью «2 белых» — 2 чёрных шарика. Если же вынутый шарик чёрный, то и второй должен быть чёрным. Тогда в коробке с надписью «2 белых» могут быть только чёрный и белый шарики, а в коробке с надписью «2 чёрных» — 2 белых шарика.
Задача 5.
Старатель намыл 8 мешочков золотого песка. Все они весят одинаково, кроме одного, который легче остальных, но на вид он совершенно такой же. Как старателю определить, какой мешочек легче других, всего за два взвешивания?
Ответ:
Надо взять 6 мешочков и положить их по 3 на чашки весов. Этим взвешиванием старатель может определить, на какой чаше весов находится лёгкий мешочек. А если весы уравновесятся, значит, он среди тех двух мешочков, которые ещё не взвешивали, и сравнить их вес можно вторым взвешиванием. Если при первом взвешивании одна чаша оказалась легче, то надо из этих трёх мешочков взять любые два и вторым взвешиванием сравнить их вес, а если весы уравновесятся, то это тот мешочек, который был отложен.
Задача 6.
Когда пассажир проехал половину всего пути, он лёг спать и спал до тех пор, пока не осталось ехать половину того пути, что он проехал спящим. Какую часть всего пути он проехал спящим?
Ответ: Пассажир спал на протяжении двух третей от половины всего пути, следовательно, на протяжении одной трети всего пути.
Математический бой №4
Задача 1.
Четырёх ребят спросили, какого цвета автомобиль стоял во дворе и какой у него номер?
Ребята дали следующие ответы:
I. Автомобиль — чёрный, его номер 6954.
II. Автомобиль — не чёрный и не синий, его номер оканчивался на 6.
III. Автомобиль был синим. Его номер оканчивался на 4.
IV. Автомобиль зелёный. Его номер 4596.
Выяснилось, что каждый из ребят один раз сказал правду, а другой раз — нет.
Какого цвета автомобиль, каков его номер?
Ответ: Автомобиль зелёный, его номер 6954.
Задача 2.
Три купчихи — Сосипатра Титовна, Олимпиада Карповна и Поликсена Уваровна — сели пить чай. Олимпиада Карповна и Сосипатра Титовна выпили вдвоём 11 чашек, Поликсена Уваровна и Олимпиада Карповна — 15, а Сосипатра Титовна и Поликсена Уваровна — 14 чашек.
Сколько всего чашек чая выпили все три купчихи вместе?
Ответ: 20 чашек чая выпили купчихи.
Задача 3.
Два рыбака поймали 70 рыб, причём 5/9 улова первого рыбака составляли караси, а 7/17 улова второго — окуни. Сколько рыб поймал каждый рыбак?
Ответ: 36 рыб и 34 рыбы.
Задача 4.
В пяти мисках 100 орехов, в 1-й и 2-й мисках всего 52 ореха; во 2-й и 3-й — всего 43 ореха; в 3-й и 4-й мисках — 34 ореха; в 5-й и 6-й мисках — 30 орехов. Сколько орехов в каждой миске?
Ответ:
1 м. + 2 м. + 3 м. + 4 м. + 5 м. = 100 (орехов);
5-я м. = 100 — (52 + 34) = 14 (ор.);
4 м. + 5 м. = 30 (оp.), значит, 4 м. = 30 — 14 = 16 (ор.);
3 м. + 4 м. = 34 (ор.), значит, 3 м. = 34 — 16 = 18 (ор.);
2 м. + 3 м. = 43 (ор.), значит, 1 м. = (1 м. + 2 м.) — (43 ор. — 3 м.) = 52-25 = 27 (ор.).
В итоге получаем: 27, 25, 18, 16, 14 орехов.
Задача 5.
На конкурсе «Кенгуру» Маша тратит на каждую задачу в 3 балла 2 минуты, в 4 балла — 3 минуты, в 5 баллов — 5 минут. Какое наибольшее количество баллов она могла набрать за 15 минут?
Ответ:
6 задач по 3 балла = 18 баллов (6 • 2 =12 минут); 1 задача на 4 балла — 3 минуты; всего: 12 + 3 = 15 (минут), всего баллов: 18 + 4 = 22 (балла).
Задача 6.
За весну Пятачок сбавил в весе на 25%, за лето прибавил 20%, за осень похудел на 10%, за зиму прибавил 20%. Похудел он или поправился за год?
Ответ:
Весной — 0,75 %; летом: 1,2 • 0,75 = 0,9 %; осенью: 0,9 • 0,9 = 0,81 %; зимой: 0,81 • 1,2 = 0,972 %.
Ответ: Пятачок за год похудел.
Математический бой №5 (5 и 6 классы)
Задача 1.
Над имеющимся числом разрешается производить 2 действия: умножать его на 2 или прибавлять к нему 2. За какое минимальное число действий вы сможете получить из числа 1 число 100?
Ответ:
Задача решается с конца: 1) 100 : 2 = 50; 2) 50 — 2 = 48; 3) 48 : 2 = 24; 4) 24 : 2 = 12; 5) 12 : 2 = 6; 6) 6 : 2 = 3; 7) 3 — 2 = 1.
Получаем: за 7 действий.
Задача 2.
Монеты разложены на 10 частей, в каждой из которых по 10 монет. Одна часть целиком состоит из фальшивых монет, но какая именно — неизвестно. Зная, что масса фальшивой монеты на 1 г больше, чем масса настоящей монеты, и что масса настоящей монеты известна, определите с помощью одного взвешивания на весах, имея набор разновесов, в какой части находятся фальшивые монеты.
Ответ:
Выбрав из первой части 1 монету, из второй — 2 монеты, из третьей — 3, …, из десятой — 10, следует взвесить полученный набор из 55 монет. Определив, на сколько граммов этот набор тяжелее, чем 55 полноценных монет, находим номер той части, которая состоит из фальшивых монет.
Задача 3.
Пассажир пришёл на пристань за 5 минут до отправления теплохода. Если бы расстояние до пристани было на 1 км больше, то, идя с той же скоростью, он опоздал бы на 5 минут. С какой скоростью шёл пассажир к пристани?
Ответ:
5 + 5 = 10 (минут) — понадобится для преодоления 1 км.
10 минут = 1/6 часа. 1 км : 1/6 часа = 6 (км/ч) — скорость пешехода.
Задача 4.
На плохо отрегулированных весах бабушка взвесила 2 пакета сахарного песку — получилось 500 г и 300 г. Когда же она взвесила на тех же весах оба пакета вместе, то получилось 900 г. Определите по этим данным вес каждого пакета.
Ответ: Весы «уменьшают» вес каждого из взвешиваемых пакетов на 100 г. Пакеты весят 600 г и 400 г.
Задача 5.
Найдите 10 натуральных чисел, сумма и произведение которых равны 20.
Ответ: 1, 1, 1, 1, 1, 1, 1, 1, 2, 10.
Задача 6.
Сеня купил 3 пакетика орехов, а Саша — 2 таких пакетика. К ним присоединился Костя, и они разделили все орехи поровну. При расчёте оказалось, что Костя должен уплатить товарищам 25 рублей. Сколько денег из этой суммы должен получить Сеня и сколько — Саша?
Ответ:
По 25 рублей — должен заплатить каждый мальчик; все 5 пакетиков стоят: 25 • 3 = 75 (руб.); значит, один пакетик стоит: 75 : 5 = 15 (руб.). Сене надо отдать: 15 • 3 — 25 = 20 (руб.), Саше — 15 • 2 — -25 = 5 (руб.).
Задачи к математическим боям
Задача 1.
Петя и Вася договорились встретиться в 18.00 часов. Они всегда приходят вовремя, но у Пети часы спешат на 10 минут, а он думает, что они отстают на 5 минут. У Васи часы отстают на 15 минут, а он думает, что они спешат на 5 минут. Кто из ребят придёт первым? Сколько времени он будет ждать товарища?
Решение:
Петя придёт на встречу в 17 ч 55 мин по своим часам. Следовательно, он придёт в 17 ч 45 мин. Вася придёт на встречу в 18 ч 05 мин по своим часам, то есть он придёт на самом деле в 18 ч 20 мин. Таким образом, первым придёт Петя. Он будет ждать Васю 35 минут.
Задача 2.
Сколько мостов соединяют 40 островов, если известно, что каждый остров соединяется с остальными островами ровно тремя мостами?
Решение:
На каждом острове имеется 3 конца мостов, следовательно, на всех островах всего 120 концов мостов, самих же мостов будет ровно в 2 раза меньше, то есть 60 мостов.

Ответ: 60 мостов.
Задача 3.
Петя и Коля играли в шашки. Петя задумался над своим ходом, а Коля от скуки сосчитал, что на доске (состоящей, как известно, из 64 клеток) пустых клеток втрое больше, чем занятых, и что у него двумя шашками больше, чем у Пети. Сколько шашек было у каждого в этот момент?
Решение:
Незанятых клеток было: 64 : 4 =16 (их было в 3 раза меньше). У Коли на 2 больше, чем у Пети, значит, у Пети было: (16 — 2) : 2 = = 7 (шашек). У Коли 7 + 2 = 9 (шашек).
Ответ: у Коли — 9 шашек, у Пети — 7 шашек.
Задача 4.
Два человека одновременно отправились из пункта А в пункт В. Первый поехал на велосипеде, второй — на автомобиле со скоростью, в 5 раз большей скорости первого. На полпути с автомобилем произошла авария, и оставшуюся часть пути автомобилист прошёл пешком со скоростью, в 2 раза меньшей скорости велосипедиста. Кто из них раньше прибыл в пункт В?
Решение:
За время, которое автомобилист затратил на вторую половину пути, велосипедист проделал весь путь. Таким образом, велосипедист прибудет в пункт В раньше.
Задача 5.
Из 16 чисел (1, 2, 3, …, 16) часть расставлена в кружки. Расставьте остальные числа в кружки так, чтобы суммы чисел по горизонтали и вертикали были равными между собой.

Решение:
Сумма всех чисел равна: 1 + 2 + 3 + … + 16 = 17 • 8 = 136; 136 : 4 = 34 — сумма чисел каждого ряда и столбца. Если обозначить искомые числа правой колонки а и b, то а + b = 10, значит, одно из них 2, а другое — 8. Если верхнее число 8, то верхнее число левой колонки — 10, а число 10 у нас уже есть. Итак, 2 числа уже найдены. Далее задача решается легко.

Задача 6.
Четыре школьника должны внести по 3 копейки. Смогут ли они это сделать, если у Алёши имеется только одна 15-копеечная монета, у Бори — две 10-копеечных монеты, у Вани — одна 5-копеечная монета, у Геннадия — четыре 2-копеечных монеты?
Решение:
Алёша должен получить сдачи 12 копеек, Боря — 17 копеек, Ваня — 2 копейки, Геннадий — 5 копеек. Следует сложить все имеющиеся монеты вместе, после чего каждый должен взять оттуда сдачу. Алёша: 10 + 2= 12 (коп.); Боря: 15 + 2 = 17 (коп.); Ваня — 2 (коп.); Гена — 5 (коп.). Оставшиеся 10 + 2=12 (коп.) пойдут на оплату.
Задача 7.
За какое наименьшее количество выстрелов можно с гарантией подбить четырёхклеточный корабль в игре «Морской бой»?
Решение:
Произведём выстрелы по полям, отмеченным на рисунке 1а. Любое положение корабля 1 х 4 накрывает одно отмеченное поле. Поэтому 24-х выстрелов достаточно. Покажем, что нельзя ограничиться меньшим числом выстрелов. Разместим на доске 24 корабля 1 х 4 — (рис. 16). В каждый из них должен попасть выстрел.
Ответ: 24 выстрела.
Игра «Морской бой»
а)

б)

Задача 8.
В комнате 10 живых существ — людей, собак и мух. У них вместе 46 ног (у человека — 2, у собаки — 4, у мухи — б). Как это могло получиться?
Решение:
Ноги, естественно, будем считать парами. Перевяжем красной ленточкой по одной паре ног у каждого из «присутствующих». Тогда неперевязанных пар окажется 13 — по одной паре у каждой собаки и по 2 у каждой мухи. Понятно, что мух не меньше двух и не больше шести, и если в комнате 2, 3, 4, 5 мух, то собак соответственно 9, 7, 5, 3, 1. Первые два случая не подходят (есть еще люди), остальные дают три решения: а) 1 человек, 4 мухи, 5 собак; б) 2 человека, 5 мух, 3 собаки; в) 3 человека, 6 мух, 1 собака.
Задача 9.
В Мексике экологи добились закона, по которому каждый автомобиль хотя бы один день в неделю не должен ездить (владелец сообщает полиции номер автомобиля и «выходной» день недели этого автомобиля). В некоторой семье все взрослые желают ездить ежедневно (каждый — по своим делам!). Сколько автомобилей должно быть в семье, если в ней: а) 5 человек; б) 8 человек?
Решение:
а) 5 автомобилей, очевидно, не хватит, а 6 — достаточно: нужно только позаботиться о том, чтобы их выходные были в разные дни.
б) 9 автомобилей не хватит: в какой-то день недели два из них должны простаивать, так что на ходу только 7 автомобилей, а нужно 8. А 10 автомобилей достаточно: выходные можно распределить так, чтобы каждый день будут простаивать не больше двух автомобилей.
Задача 10.
Определить год рождения одного из великих русских учёных, если известно, что сумма цифр его года рождения делится на 5, а если к году рождения прибавить 7452, то получится число, написанное теми же цифрами, но в обратном порядке.
Решение:
Год рождения есть четырёхзначное число, начинающееся на 1:

Ответ: 1829 год.
Задача 11.
На каждой из двух прямых отметили по 4 точки. Сколько существует треугольников с вершинами в этих точках? Ответ обосновать.
Решение:
Внизу 6 отрезков, по 4 точки вверху, всего: 6 • 4 = 24, аналогично — ещё 24 отрезка с верхними отрезками.

Ответ: 48 треугольников.
Задача 12.
В результате игры в «бодалки» Петя и Ваня вместе набили себе шишек в 3 раза больше, чем Толя, а Ваня и Толя — в 5 раз больше, чем Петя. Кто больше набил шишек: Петя и Толя вместе или Ваня?
Решение:
Толя набил 1/4 общего количества шишек, а Петя – 1/6. Вместе они набили: 1/4 + 1/6 < 1/2 то есть меньше шишек, чем у Вани.
Задача 13.
Страницы в книге пронумерованы подряд, от первой до последней. Хулиган Вася вырвал из разных мест книги 25 листов и от нечего делать сложил номера всех 50 вырванных страниц. У него получилось 2000. Докажите, что Вася плохо считает.
Решение:
На каждом из вырванных листов 2 страницы, причём номер одной — чётное число, а номер другой — нечётное. На 50 страницах находится 25 чётных и 25 нечётных номеров, и сумма их всех должна быть числом нечётным и не может равняться чётному числу 2000.
Задача 14.
Даны 6 чисел: 11, 22, 33, 44, 55, 66. Разрешается к любым двум числам прибавить 1. Можно ли за несколько таких операций все числа сделать равными?
Решение:
Общая сумма всех 6 чисел изначально нечётна и остаётся нечётной при каждой операции. Если бы все числа стали равными, их сумма была бы числом чётным.
Ответ: нельзя.
Задача 15.
Можно ли натуральные числа от 1 до 21 включительно разбить на несколько групп так, чтобы в каждой группе одно из чисел равнялось сумме всех остальных чисел?
Решение:
Общая сумма всех чисел: 1 + 2 + 3 + … + 19 + 20 + 21 = (1 + 21) • 10 +11 =231- нечётное число. Если бы было возможно, что одно из чисел в группе равнялось бы сумме остальных, то сумма всех чисел в группе была бы чётной, а тогда сумма всех чисел от 1 до 21 была бы чётной, но эта сумма — нечётная. Следовательно, требуемое разбиение невозможно.
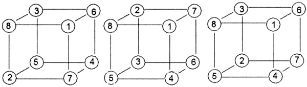
Задача 16.
Расставьте цифры 1, 2, 3, 4 ,5, 6, 7, 8 в вершинах куба так, чтобы суммы цифр, стоящих в каждой грани, были равны (см. рис.). (От ребят не требуется найти все решения или доказать, что других решений нет.)
Решение:
Сумма цифр в каждой грани равна: ((1 + 8) • 4): 2 = 36 : 2 = 18.

Задача 17.
В классе ленивых девочек столько же, сколько прилежных мальчиков. Кого в классе больше: прилежных детей или девочек?
Решение:
Обозначим ПМ — прилежные мальчики; ПД — прилежные девочки; ЛД — ленивые девочки; Д — девочки. По условию ЛД = ПМ, прибавим к обеим частям ПД. Получим: ЛД + ПД = ПМ + ПД.
Так как ЛД + ПД = Д (девочки), а ПМ + ПД — прилежные дети, то их количества равны.
Ответ: поровну.
Задача 18.
Верно ли, что среди любых 5 различных чисел, записанных в ряд, всегда можно вычеркнуть 2 числа так, чтобы оставшиеся три числа стояли либо по возрастанию, либо по убыванию?
Решение:
Рассмотрим наибольшее и наименьшее числа, обозначив их А и В соответственно. Если А и В стоят рядом, то либо слева, либо справа от них есть 2 числа. Эти 2 числа и образуют искомую тройку либо с А, либо с В. Если же А и В не стоят рядом, то между ними есть число С. Тогда А, В, С и есть искомая тройка.
Ответ: да, верно.
Задача 19.
В 1975 году мальчик Антон пошёл в молочный магазин. Денег у него не было, но были пустые бутылки — 6 литровых (стоимостью 20 коп.) и 6 пол-литровых (стоимостью 15 коп.). В магазине было разливное молоко по 22 копейки за литр. Каково наибольшее количество молока, которое он сможет принести домой? Другой посуды, кроме пустых бутылок, у него нет.
Решение:
Антон не может сдать все бутылки, иначе не в чем будет нести молоко домой. Сдав 6 пол-литровых бутылок и 1 литровую, Антон получит 1 рубль 10 копеек, что составит стоимость 5 литров молока. Купленные 5 литров молока он сможет унести в оставшихся 5 литровых бутылках. Убедимся, что больше 5 литров ему унести не удастся. Если он сдаст не 1 литровую бутылку, а больше, то для того, чтобы набрать стоимость хотя бы 5 литров молока, ему потребуется сдать ещё не менее 5 пол- литровых бутылок: 5 • 15 + 2 • 20 =115 копеек (купит 5 литров молока); ёмкость оставшихся бутылок равна: 0,5 + 4 = 4,5 литра — молоко не унести (проверяется перебором).
Задача 20.
У каждого из трёх ребят есть старинные монеты. У 1-го и 2-го вместе на 6 монет больше, чем у 2-го и 3-го. Сколько монет у каждого мальчика, если у всех троих всего 10 монет?
Решение:
1-й + 2-й = 2-й + 3-й + 6 => 1-й = 3-й + 6; 1-й + 2-й + 3-й = 10; 3-й + 6 + 2-й + 3-й = 10; 2III + II = 4.
Подбором получаем: 3-й = 1; 2-й = 2; 1-й = 10 — 1 — 2 = 7.
Ответ: у первого мальчика — 7 монет, у второго — 2, у третьего — 1 монета.
Задача 21.
Грани игральных кубиков пронумерованы числами 1, 2, 3, 4, 5, 6 так, что сумма чисел, записанных на противоположных гранях, равна 7. Строится высотное здание: ставится один кубик на другой так, что сумма чисел на соприкасающихся гранях равна 8. Какое максимальное число этажей будет в здании?
Решение:

1) Если начать с кубика (1), то в здании будет 6 этажей: (2)
2) Если начать с «2», то получится 5 этажей: (3)
3) Если начать с «3», то получится 4 этажа: (4)
4) Если начать с «4», то в здании получится 3 этажа: (5)
5) Если начать с «5», то получится 2 этажа: (6)
6) Если начать с «6», то не получится ни одного этажа.
Ответ: 6 этажей.
Задача 22.
Обжоры Робин, Бобин, Гаргантюа и Пантагрюэль сидят за круглым столом (не обязательно в указанном порядке). Двое из них за обедом съели по 2 гуся каждый, третий — 3 гусей, а четвёртый одолел 4 гусей. Гаргантюа съел гусей столько же, сколько оба его соседа вместе. Пантагрюэль съел больше Робина. Сколько гусей съел Робин?
Решение:
Двое соседей Гаргантюа съели не менее четырёх гусей, следовательно, Гаргантюа съел не менее четырёх гусей, то есть ровно 4 гуся. Только 2 числа (3 и 4) могут быть больше остальных, но поскольку 4 гуся съел Гаргантюа, Пантагрюэль съел 3. Значит, Робин съел 2 гусей.
Задача 23.
Три дома А, В, и С расположены на одной прямой в указанном порядке. В домах А и С живёт по 3 семьи, в доме В- 4 семьи. На этой же прямой надо выбрать место для колодца. Каждая семья один раз в день будет носить воду из колодца. Куда следует поместить колодец, чтобы суммарный путь всех семей был наименьшим?
Решение:
Пусть колодец вырыт в точке К. Тогда суммарный путь всех семей к колодцу будет равен: 3АК + 4ВК + ЗСК.
Но 3АК + 3СК = 3АС для любого положения точки К внутри АС. Следовательно, суммарный путь будет наименьшим, если наименьшим является слагаемое 4ВК — то есть если В совпадает с К.
В этом случае суммарный путь будет равен 3АС. Если точка К лежит вне отрезка АС, то суммарный путь только семей, живущих в домах А и С, будет больше 3АС (каким-то трём семьям придётся проходить больше отрезка АС). Итак, колодец следует рыть в точке В.
Задача 24.
Старый будильник отстаёт на 8 минут каждые 24 часа. На сколько минут нужно поставить его вперёд в 20.00, чтобы зазвонил он ровно в 8.00 следующего дня?
Решение 1:
За 1 час будильник отстаёт на 8/24 = 1/3 (минуты). Значит, на промежуток времени от 20.00 до 8.00 часов следующего дня он отстанет на 1/3 • 12 = 4 (минуты). Именно на эти 4 минуты его и следует поставить вперёд.
Решение 2:
За 24 часа будильник отмеряет 23 часа 52 минуты, следовательно, за 12 часов он отмерит 11 часов 56 минут, его нужно поставить вперёд на 4 минуты.
Задачи и задания к конкурсу капитанов
Задание 1.
Разделить 100 на половину. Сколько при этом получится?
Ответ: 200.
Задание 2.
Половина — треть его. Какое это число?
Ответ: 1,5.
Задание 3.
Я задумал число. Если к половине этого числа прибавить четверть его, то получится 18. Какое число я задумал?
Ответ: 24.
Задача 4.
Груша дороже яблока в 2 раза. Что дороже: 8 яблок или 4 груши?
Ответ: Они стоят одинаково.
Задание 5.
На какое наибольшее целое число делится без остатка любое целое число?
Ответ: На само себя.
Задание 6.
В какую букву и какое число надо вписать, чтобы число увеличилось на единицу?
Ответ: В 0 цифру семь, в 0 цифру 17.
Задание 7.
Сколько раз минутная стрелка обгоняет часовую стрелку за сутки?
Ответ: 22 раза: в начале и в конце суток минутная и часовая стрелки только сближаются.
Задача 8.
В доме 10 этажей одинаковой высоты. Во сколько раз лестница на 10-й этаж длиннее, чем на 2-й?
Ответ: В 9 раз.
Задание 9.
Если дома на улице пронумерованы от 1 до 50, то сколько раз встречается цифра 4?
Ответ: 15 раз.
Задание 10.
Сколькими нулями оканчивается произведение всех целых чисел от 1 до 100 включительно?
Ответ: 23 нулями.
Задача 11.
Однажды пришли к садовнику ребята и спрашивают: «Дедушка, сколько в твоём саду деревьев?» Садовник отвечает: «Половина всех моих деревьев — яблони, четвёртая часть — сливы, седьмая часть — груши и, кроме того, есть ещё 3 тополя». Сколько деревьев в саду?
Ответ: 28 деревьев.
Задача 12.
Колхозница принесла на базар кочаны капусты и продала их трём покупательницам. 1-я взяла половину всех кочанов и ещё полкочана, 2-я купила половину оставшихся и ещё полкочана, 3-я покупательница взяла последний кочан. Сколько кочанов принесла колхозница на базар?
Ответ: 7 кочанов капусты.
Задача 13.
К счётчику скота приходит пастух с 70 быками. «Сколько скота приводишь ты из своего многочисленного стада?» — спрашивает пастуха счётчик. Пастух отвечает ему на это: «Я привожу тебе две трети от трети скота; определи мне его, сосчитай его».
Решение
2/3 • 1/3 = 2/9 — составляют 70(бык.); 70: 2/9 = 70 • 9/2= 315 (быков).
Задача 14.
Ослица и мул шли вместе, нагруженные мешками равного веса. Ослица жаловалась на тяжесть ноши. «Чего ты жалуешься, — сказал мул, — если ты дашь мне один твой мешок, то моя ноша станет вдвое тяжелее твоей, а если я тебе дам один свой мешок, наши грузы только сравняются». Сколько мешков нес каждый?
Ответ: У мула — 7 мешков, у ослицы — 5 мешков.
Задание 15.
Может ли число диагоналей многоугольника равняться числу его сторон?
Ответ: В пятиугольнике.
Задача 16.
5 землекопов за 5 часов выкапывают ров длиной 5 метров. Сколько потребуется землекопов, чтобы вырыть такой же глубины ров, длина которого 100 м, за 100 часов?
Ответ: 5 землекопов.
Задание 17.
Как написать число 100 пятью единицами?
Ответ: 111-11.
Задание 18.
Из одной точки вылетели 3 ласточки. Когда они будут в одной плоскости?
Ответ: Всегда.
Задача 19.
Недалеко от берега стоит корабль со спущенной на воду верёвочной лестницей вдоль борта. У лестницы 10 ступенек, расстояние между ступеньками 30 см. Самая нижняя ступенька касается воды. Океан сегодня спокоен, но начинается прилив, который поднимает воду за каждый час на 15 см. Через сколько времени покроется водой третья ступенька верёвочной лестницы?
Ответ: Ступенька не покроется водой, так как корабль поднимается вместе с приливом.
Задача 20.
Мальчик купил в магазине 6 перьев, несколько тетрадей по 30 коп. и 3 карандаша. Продавец выписал ему чек на 2 р. 20 коп.
— Вы ошиблись, — сказал ему мальчик, как только взглянул на чек. Продавец удивился: как мальчик, не подсчитав денег, заметил ошибку? Проверка показала, что мальчик был прав. Какой догадался?
Ответ: Сумма чека должна быть кратна трём.
Задача 21.
Из Москвы во Владивосток вылетел самолёт «Ту-104». Его скорость — 800 км/ч. Одновременно из Владивостока в Москву вылетел другой самолёт. Его скорость — 650 км. Какой самолёт в момент их встречи будет ближе к Москве?
Ответ: Оба самолета будут на одинаковом расстоянии.
Задача 22.
Если в 12 часов ночи идёт дождь, то можно ли утверждать, что через 72 часа будет солнечная погода?
Ответ: Нельзя, через 72 часа будет ночь.
Задача 23.
Если 2 петуха закричат изо всей силы, то человек проснётся. Сколько петухов должны закричать, чтобы проснулись 4 человека?
Ответ: 2 петуха.
Задача 24. Кошки в лукошке.
Шёл Кондрат в Ленинград,
А навстречу ему 12 ребят.
У каждого по 3 лукошка,
В каждом лукошке — кошка.
У каждой кошки 12 котят,
У каждого котёнка по 4 мышонка.
И задумался старый Кондрат:
Сколько мышей и котят
Ребята несут в Ленинград?
Ответ: Глупый, глупый Кондрат, он один и шёл в Ленинград.
Задача 25.
Гусь стоит 2 рубля и ещё половину того, что он стоит. Сколько стоит гусь?
Ответ: Гусь стоит 4 рубля.
Задание 26.
Хорошо известно, что 5 в квадрате — 25, 10 в квадрате — 100, половина в квадрате — 1/4. Чему равен угол в квадрате?
Ответ: 90 градусов.
Задание 27.
Что больше весит: тонна пуха или тонна металла?
Ответ: Одинаково.
Задача 28.
На руках 10 пальцев. Сколько пальцев на 10 руках?
Ответ: 50 пальцев.
Задача 29.
На берёзе 16 сучков, на каждом сучке по 10 веток, на каждой ветке по 4 яблока. Сколько яблок всего?
Ответ: На берёзе яблоки не растут.
Задача 30.
У мальчика столько же сестёр, сколько и братьев, а у его сестры вдвое меньше сестёр, чем братьев. Сколько сестёр и сколько братьев у мальчика?
Ответ: 3 сестры и 4 брата.
Задача 31.
Один человек посмотрел на портрет и сказал: «У меня нет ни братьев, ни сестёр, но отец этого человека был сыном моего отца». Кто кому кем приходится?
Ответ: Это портрет сына того человека, который смотрел на портрет.
Задача 32.
Будучи проездом в маленьком городке, один купец зашёл перекусить в ресторанчик, а потом пошёл подстричься. В городке было всего 2 парикмахерские, в каждой — только один мастер, он же и хозяин. В одной парикмахер был неопрятно выбрит и плохо подстрижен, а в другой — чисто выбрит и с отличной стрижкой. Купец решил стричься в первой парикмахерской. Как по-вашему, он сделал правильный выбор?
Ответ: Купец верно рассудил, что раз в городе всего 2 парикмахера, то они наверняка стригут друг друга. Значит, идти надо стричься к тому, у кого плохая стрижка.
Задача 33.
У меня было 3 целых яблока, 4 половинки да 8 четвертинок. Сколько всего яблок у меня?
Ответ: 7 яблок.
Задача 34.
Восемь коллег на прощание жмут друг другу руки. Сколько всего будет рукопожатий?
Ответ: 7 + 6 + 5 + 4 + 3 + 2+1=28 (рукопожатий).
Задание 35.
Что больше: сумма всех чисел от 0 до 9 или их произведение?
Ответ: Сумма, так как произведение равно 0.
Задача 36.
Арбуз стоит 10 рублей и ещё половину того, что он стоит. Сколько стоит арбуз?
Ответ: 20 рублей.
Задача 37.
По столбу высотой 10 м взбирается улитка. За день она поднимается на 5 м, а за ночь опускается на 4 м. Сколько дней ей потребуется, чтобы достичь вершины столба?
Ответ: 6 дней.
Задача 38.
Лёня, Женя и Миша имеют фамилии Орлов, Ястребов и Соколов. Какую фамилию имеет каждый, если Женя, Миша и Соколов — члены математического кружка, а Миша и Ястребов занимаются музыкой?
Ответ: Миша Орлов, Женя Ястребов, Лёня Соколов.
Задача 39.
Имеется 5 кусков цепи по 3 кольца в каждом. Какое наименьшее количество колец надо расковать и сковать, чтобы соединить куски в одну цепь?
Ответ: Расковать 3 кольца одного куска цепи и соединить ими все куски.
Задача 40.
Пять рабочих упаковывают пять коробок за 5 минут. Сколько рабочих нужно для упаковки 50 коробок за 50 минут?
Ответ: Те же 5 рабочих, так как каждый рабочий упаковывает 1 коробку за 1 минуту.
Задание 41.
Из 9 монет одна фальшивая (более лёгкая). Как определить фальшивую монету на весах с двумя чашечками без гирь двумя взвешиваниями?
Ответ: Разложим монеты на 3 части по 3 монеты в каждой. С помощью первого взвешивания определим, в какой части лёгкая монета. С помощью второго — более лёгкую монету.
Задание 42.
Убрать 4 спички так, чтобы образовалось 5 квадратов.

Ответ:

Задача 43.
На озере однажды расцвела лилия. Каждый день число лилий удваивалось. Через 20 дней лилии покрыли всё озеро. За сколько дней цветущие лилии покрыли половину озера?
Ответ: За 19 дней.
Задача 44.
2 рыбака поймали 40 окуней, причём первый поймал на 6 штук больше, чем второй. Сколько окуней поймал каждый рыбак?
Ответ: 17 окуней и 23 окуня.
Задача 45.
Расстояние между двумя телеграфными столбами — 50 м. Сколько телеграфных столбов надо установить на расстоянии в 500 м?
Ответ: 11 столбов.
Задача 46.
Бутылка и пробка стоят 12 копеек, причём бутылка на 10 копеек дороже пробки. Сколько стоит бутылка и сколько стоит пробка?
Ответ: 1 копейку стоит пробка и 11 копеек — бутылка.
Задача 47.
Лиса наловила 15 окуней и распределила их на 5 частей так, что в каждой части было разное число рыб. Как она сделала это?
Ответ: В каждой части по 1, 2, 3, 4, 5 окуней.
Задача 48.
Два селения А и В расположены рядом. Жители обоих селений часто посещают друг друга. Известно, что все жители А всегда говорят только правду, а жители В — всегда лгут. Путешественник оказался в одном из селений, но не знает, в каком именно -А или В. Какой вопрос ему надо задать первому встречному жителю, чтобы по его ответу — «да» или «нет» — можно было определить безошибочно, в каком именно селении он находится?
Ответ: «Вы живёте в этом селении?» Если будет ответ «да» — вы находитесь в А, если ответ «нет» — в В.
Задача 49.
Антон лёг спать 28 февраля в 19 часов и завёл будильник, чтобы он разбудил его в 8 часов. Сколько времени спал Антон, если предположить, что он сразу уснул?
Ответ: 1 час.
Задача 50.
У семи братьев по одной сестрице. Сколько всего детей?
Ответ: 8 детей.
Задача 51.
Сколько концов у пяти палок? А у пяти с половиной?
Ответ: 10 концов и 12 концов.
Задача 52.
Из зоопарка на пристань, расстояние между которыми 1 км, повели слона. В этот момент от пристани навстречу слону выбежала Моська. Она добежала до слона, тявкнула на него и побежала обратно на пристань, затем повернула обратно и т. д., пока слон не пришёл на пристань. Моська двигалась быстрее слона в 10 раз. Сколько километров пробежала Моська?
Ответ: Моська пробежала 10 км, так как она двигалась в 10 раз быстрее и пробежала в 10 раз больше слона.
Задача 53.
Который сейчас час, если оставшаяся часть суток вдвое больше прошедшей?
Ответ: 8 часов утра.
Задание 54.
Какое число надо поставить в пустую клетку?

Ответ: 81 (квадрат числа 9).
Задача 55.
Ты должен уплатить за купленную вещь 19 рублей. У тебя лишь трёхрублёвки, а у кассира только пятирублёвки. Можешь ли ты, имея такие деньги, расплатиться? Как именно, если это возможно?
Ответ: 3·8-5 = 19.
Задание 56.
Сумма двух чисел равна 330. Когда в большем числе отбросили справа один нуль, то числа оказались равными. Какие это числа?
Ответ: 300 и 30.
Задание 57.
Как расставить 6 стульев у четырёх стен, чтобы у каждой стены стояло по 2 стула?
Ответ:

Задача 58.
У рабочего была путёвка в дом отдыха с 15 августа по 7 сентября включительно. Сколько дней отдыхал рабочий?
Ответ: 24 дня.
Задание 59.
Составить число 100 при помощи любых арифметических действий с помощью пяти пятёрок.
Ответ: 100 = 5 • 5 • 5 — 5 • 5; 100 = (5 + 5 + 5 + 5) • 5.
Задание 60.
Записать число 1000 при помощи восьми восьмёрок и знаков действий.
Ответ: 888 + 88 + 8 + 8 + 8 = 1000.
Задание 61.
Вписать недостающее число в таблицу:

Ответ: 17. Каждое число, начиная с третьего, равно сумме двух предшествующих чисел.
Задача 62.
Предположим, что ты — капитан корабля. На корабле 25 матросов, каждому матросу по 25 лет. Сколько лет капитану?
Ответ: Ему столько же лет, сколько тебе.
Задание 63.
Вы видите три числа, подписанных одно под другим:
1 1 1
7 7 7
9 9 9
Надо зачеркнуть шесть цифр так, чтобы оставшиеся числа составили в сумме 20.
Ответ:

Задача 64.
В аллее на одной стороне 30 деревьев. Каким по счёту от начала будет дерево, 13-е по счёту от конца аллеи?
Ответ: 18-м.
Задание 65.
Установи закономерность и впиши недостающее число:

Ответ: 1 (сумма везде равна 15).
Задача 66.
До игры у Миши было на 5 орехов больше, чем у Коли. Коля выиграл у Миши 4 ореха. У кого из них теперь больше орехов и на сколько?
Ответ: У Коли больше на 3 ореха.
Задача 67.
В шахматном турнире участвовали 8 человек. Каждый игрок с каждым игроком сыграл по 1 партии. Сколько всего партий было сыграно?
Ответ: 7 + 6 + 5 + 4 + 3+2+1=28 (партий).
Задание 68.
Как разместить 45 кроликов в девяти клетках так, чтобы во всех клетках было разное количество кроликов?
Ответ: 68. 1 +2+3 + 4 + 5 + 6 + 7 + 8 + 9 = 45 (кроликов).
Задание 69.
Взяв в руки только один стакан, сделайте так, чтобы пустые и полные стаканы при этом на столе чередовались.
Ответ: Надо взять второй стакан и вылить воду в пятый стакан.
Задача 70.
Профессор ложится спать в 8 часов вечера. Будильник заводит на 9 часов утра. Сколько времени спит профессор?
Ответ: 1 час или 13 часов, зависит от типа будильника.
Задача 71.
У Мамеда было 10 овец. Все, кроме девяти, околели. Сколько овец осталось у Мамеда?
Ответ: 9 овец.
Задача 72.
Вы — пилот самолёта. Самолёт летит в Лондон через Париж. Высота полёта — 8 тысяч метров, температура за бортом — минус 40 °С. Средняя скорость — 900 км/час. Сколько лет пилоту?
Ответ: Пилот — ваш ровесник.
Задача 73.
На руке 5 пальцев. Сколько пальцев на 20 руках?
Ответ: 100 пальцев.
Задача 74.
Из Москвы и Ленинграда навстречу друг другу вышли 2 поезда. Скорость поезда, который выехал из Москвы, в 3 раза больше скорости того, который выехал из Ленинграда. Который из поездов будет ближе к Москве, когда они встретятся?
Ответ: Оба поезда будут на одинаковом расстоянии.
Задача 75.
Палку распилили на 12 частей. Сколько будет распилов?
Ответ: 11 распилов.
Задача 76.
Каждый месяц кончается на 30 или 31. В каком месяце есть число 28?
Ответ: В каждом месяце.
Задача 77.
Врач прописал три укола, через полчаса — укол. Через сколько часов будут сделаны все уколы?
Ответ: Через один час.
Задача 78.
Сколько единиц в одной дюжине?
Ответ: Одна.
Задача 79.
Рыба весит 8 кг плюс половина её веса. Сколько весит рыба?
Ответ: 16 кг весит рыба.
Задача 80.
Сколько раз цифра 9 встречается в числах от 1 до 100?
Ответ: 20 раз.
Задача 81.
Археологи нашли монету, датированную 250 годом до нашей эры. Могло ли это быть?
Ответ: Нет.
Задача 82.
Сколько зверей взял Ной в свой ковчег?
Ответ: 2n, где n — вид животного.
Задача 83.
Как сварить яйцо за 2 минуты, если в вашем распоряжении всего пара песочных весов — на 5 и 3 минуты?
Ответ: Перевернуть сразу и первые, и вторые песочные часы; когда в трёхминутных часах песок истечёт, бросайте яйцо в кипяток и следите за вторыми часами. Они будут работать ровно 2 минуты.
Задача 84.
Когда внук спросил у дедушки, сколько ему лет, дед ответил: «Если я проживу ещё половину того, что я прожил, да ещё 1 год, то мне будет 100 лет». Сколько лет дедушке?
Ответ: (100 — 1) : 3 • 2 = 66 (лет) — прожил дед.
Задание 85.
Кто из знаменитых математиков получил Нобелевскую премию?
Ответ: Л. В. Канторович.
Задание 86.
Какие знаменитые задачи оставили древние математики?
Ответ: Трисекция угла, удвоение куба, квадратура круга.
Задание 87.
Выявите закономерность и назовите букву, которая «должна» продолжить последовательность: К, О, Ж, 3, Г, С.
Ответ: Это буква «Ф». Зашифрованы названия цветов радуги: «Каждый охотник желает знать, где сидит фазан».
Задание 88.
Назовите два простых числа, сумма которых кратна 9, а разность оканчивается нулём.
Ответ: Например, 47 и 7.
Задание 89.
Бумажную салфетку сложили вчетверо и разрезали по обеим диагоналям. Сколько отдельных частей получилось?
Ответ: 12 частей.




Математический бой, 6 класс. Задания с ответами